非饱和土广泛分布于地壳表层,是众多岩土工程(如边坡、路基、堤坝)和农业环境领域的直接研究对象。其力学与水力性质的核心控制因素之一是基质吸力,即土中水相与气相之间的压力差。基质吸力直接影响土体的强度、变形和渗透特性,进而决定了工程结构的稳定性和安全性。

土壤-水特征曲线是描述含水量与基质吸力关系的关键曲线,对于非饱和土理论和工程应用至关重要。由于含水量显著影响非饱和土的强度,因此需要从实验上研究水分在土壤基质内的分布。然而,尽管关于SWCC的研究众多,但很少有研究探索支撑该曲线的水分分布特征。具体来说,在不同基质吸力下,保留在不同半径孔隙中的水对吸力的贡献不同,但孔隙水的组成、分布模式以及残余水的相对含量仍不清楚。
基于低场核磁技术,可以探索不同基质吸力下非饱和土的孔隙水分布特征。这有助于阐明在排水过程中,随着基质吸力增加,水分如何从不同尺寸的孔隙中被排出,从而揭示水分分布和排水行为的动态变化。可以为建立基于孔隙水分布的非饱和土力学模型提供关键见解和参考数据。
膨胀土、高岭土和碳酸钙废土。
根据压实试验结果和路基压实考虑,膨胀土、高岭土和碳酸钙废土试样的初始含水量分别设定为17.68%、17.50%和8.00%,干密度分别设定为1.40 g/cm³、1.61 g/cm³和1.80 g/cm³。试样采用聚四氟乙烯环刀制备,分五层压实,形成直径61.8 mm、高20 mm的圆柱。
使用低场核磁检测残余孔隙水(型号:MacroMR12-110H-I),使用一维应力相关土壤水特征曲线(SWCC)压力板装置,施加基质吸力。
1)首先将试样真空饱和。
2)然后在每一级预定的基质吸力下,让试样在压力板装置中达到平衡(通常需要3至5天)。
3)平衡后,取出试样快速称重。
4)称重完成后,立即进行低场核磁测试。
5)测试完成后,将试样放回压力板装置中,再施加下一级吸力。重复称重、核磁测试,如此重复,直到收集到所有目标吸力下的T₂曲线和SWCC曲线。
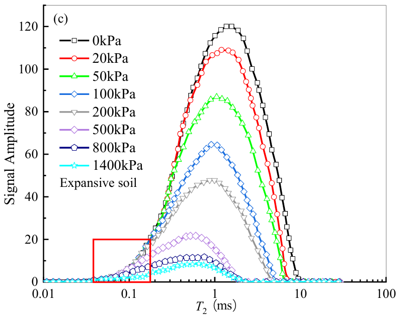
1. 三种土壤(高岭土、碳酸钙废土、膨胀土)在不同基质吸力下的核磁共振T₂弛豫曲线,提供了基于核磁共振技术的排水机理研究。分析如下:



图1 不同基质吸力下的核磁共振T₂弛豫曲线
总体趋势与排水行为:对于所有土壤类型,随着基质吸力增加,T₂曲线的峰值逐渐降低,且峰值对应的T₂值向左移动(即减小)。这表明土壤中的水含量减少,并且水分从较大的孔隙中被排出。而最小T₂值相对恒定,表明含有结合水的孔隙结构在干燥过程中保持相对稳定。
曲线形态与孔隙结构:三种土壤的T₂曲线大致呈单峰形态,表明其孔隙结构相对简单,这有助于区分土壤中不同形式的水。
积分面积变化:随着基质吸力增加,T₂曲线下的积分面积逐渐减小,这直接对应于土壤含水量的减少。对于高岭土,积分面积在0-130 kPa吸力范围内下降最快;对于碳酸钙废土,在0-380 kPa范围内下降最快;对于膨胀土,则在0-50 kPa范围内下降最快。
土壤间差异:不同土壤的T₂曲线变化特征存在差异,这主要归因于颗粒尺寸分布、初始含水量、干密度和矿物成分的不同所导致的孔隙结构多样性。例如,膨胀土的T₂值主要分布在0.04至10 ms之间,而高岭土的分布范围更宽0.1至85 ms。
通过弛豫曲线,可以在脱水过程中、孔隙水排出的动态模式下进一步划分孔径分布,以及不同基质吸力下的水分组分分布(以高岭土试样为例)。


图2 高岭土土样中的水形态分类图
2、图中将孔隙结构划分为三个区域:毛细作用区、水膜吸附区和强吸附区,分别对应自由水、弱结合水和强结合水。
1)自由水:图中对比了饱和状态(0 kPa吸力)与临界基质吸力状态(例如高岭土为350 kPa)下的两条累积曲线。两条曲线之间的面积,代表了在吸力从0 kPa增加到临界值的过程中被排出的水分,这部分被定义为自由水。
2)强结合水:所有不同吸力下的曲线都会汇聚于一个不变的点,该点所对应的T₂值以下的区域这部分不被排出的水被定义为强结合水。
3)弱结合水:介于自由水区域和强结合水区域之间的部分,则对应弱结合水。这部分水会随着吸力超过临界值后继续被缓慢排出。
低场核磁共振技术能够无损、连续地检测非饱和土在不同基质吸力下的孔隙水分布,为定量分析自由水与结合水的动态变化提供了关键实验手段,对微观动态流动规律的研究提供有力支持。

大口径核磁共振成像分析仪
如您对以上应用感兴趣,欢迎咨询:18516712219
[1] Lyu H, Fan L, Gu J, et al. Characterization of pore water distribution in unsaturated soils during drying process with NMR and soil-water characteristic curves[J]. Transportation Geotechnics, 2024, 49(000).
电话:400-060-3233
售后:400-060-3233
返回顶部